La performance y sus medidas

III El ratio premio-variabilidad de Sharpe

1) Sentido financiero

El índice de performance propuesto por Sharpe (1966) es también denominado como ratio premio-variabilidad, siendo su expresión la siguiente:

La razón de su denominación es inmediata: el numerador de la expresión denota el exceso o prima de rentabilidad que la cartera p analizada reporta con respecto a la rentabilidad que el inversor puede obtener mediante activos sin riesgo Rf; mientras que el denominador es la desviación típica de la variable aleatoria rentabilidad, indicador de la variabilidad de Rp. Este denominador es, por tanto, la raíz cuadrada de la varianza y, en consecuencia, la expresión contempla el riesgo total de la cartera.

Abundando, el índice ofrece el exceso de rentabilidad sobre el rendimiento sin riesgo que la cartera ofrece por unidad de riesgo total. Este es el sentido financiero del índice de Sharpe. Por lo tanto, cuanto mayor sea el valor que este índice alcance para una cartera, mejor gestionada habrá estado ésta.

Para demostrar que la expresión propuesta cumple con los requisitos esenciales de una medida de performance, a continuación se procede a realizar las derivadas parciales de dicha expresión sobre las dos componentes relevantes, con el fin de comprobar el signo que toman dichas derivadas parciales. En particular:


Esta afirmación no tiene ninguna fisura, ya que siempre se cumplirá que la desviación típica sea positiva.

En este caso, el cumplimiento del signo negativo viene condicionado a que el numerador sea positivo, cuestión que, en plena ortodoxia financiera, debe cumplirse, es decir E(Rp) debe ser un valor superior a Rf para que el decisor financiero acepte una cartera formada por activos arriesgados. No obstante, este hecho no siempre se cumple como demuestran Ferruz y Sarto (op.cit.) y Sarto (op.cit.), lo que implica una problemática que se desarrollará en capítulos posteriores.

Cumpliendo los requisitos especificados se puede aceptar el índice de Sharpe como expresión indicativa de la performance de las carteras.


2) Estudio de sus líneas isoperformance

Siguiendo la metodología ya expuesta, el mapa de líneas isoperformance que ofrece esta medida sería el indicado en el gráfico 3.5. Dichas líneas isoperformance tendrán la siguiente estructura para los diferentes valores Sp* de performance:

De esta manera, la expresión obedece a una función:

y = a + b*x

Luego, las líneas isoperformance serán rectas donde la ordenada en el origen de todas ellas será a, es decir, Rf y la pendiente de la recta dependerá del valor de performance que representen. El valor del índice Sp* indicará, por tanto, la tangente del ángulo que forma cada recta con el eje de abcisas.

Gráfico 3.5.


De esta manera, partiendo, por ejemplo, de la
cartera A que viene definida por sus parámetros E(RA) de rentabilidad y sA de riesgo, su nivel de performance tendrá la siguiente expresión:

Gráfico 3.6.

Por lo tanto, la línea que pasa por el punto A y que corta al eje de ordenadas por el punto Rf es una línea isoperformance cuya pendiente coincide con el valor de sA, como se observa en el gráfico 3.6.

A partir de esta línea, se pueden determinar las zonas que contienen combinaciones preferidas a la de partida y, asimismo, las zonas correspondientes a carteras dominadas por A, según muestra el gráfico 3.7.

En dicho gráfico se resaltan los cuadrantes que, a priori, contienen combinaciones cuya performance puede ser mayor, igual o menor que la correspondiente a la cartera de partida. Aquéllas que presentan un valor semejante al de A están contenidas, por definición, en la línea isoperformance. Mientras que, en el gráfico, se ilustran las zonas correspondientes a carteras de performance superior (mediante líneas discontinuas verticales) e inferior (líneas discontinuas horizontales).

De esta manera, se soluciona el problema de determinación gráfica de las zonas que contienen combinaciones con performance mayor y menor.



Gráfico3.7.

Ejemplo 3.1. Poseemos una cartera A que se ha comportado durante los últimos doce meses en términos de rentabilidad mensual de la siguiente forma. Los datos en porcentaje son los siguientes:

 Período  1 2 3 4 5 6 7 8 9 10 11 12
 Rentabilidad (A)  1 1.5 2 -1 -0.5 1.5 2 0.5 2 1 0.5 1

A partir de estos datos obtenemos la rentabilidad media mensual y la desviación típica de esta cartera. Los resultados en porcentaje son los siguientes:

Cartera

Rentabilidad Media

Desviación Típica

A

0,958

0,923




Conociendo que la rentabilidad media mensual de los
activos libres del riesgo es del 0,25 %, podemos conocer cual es el ratio premio-variabilidad de Sharpe:

La línea isoperformance que tenga una pendiente de 0,767 contendrá a la cartera A y a todas las carteras con un índice de Sharpe similar.

Comparemos ahora nuestra cartera A con otras cuatro carteras que se han comportado en términos de rentabilidad mensual de la siguiente forma. Los resultados en porcentaje son los siguientes:


 Período  Rentabilidad (B)  Rentabilidad (C)  Rentabilidad (D)  Rentabilidad (E)
 1 1 0.5 1 1
2 1 1.5 1.5 2
3 0.5 2 2 3
4 -1 -0.5 -0.5 -1.5
5 -0.5 -1 -0.5 0
6 2 1 1.5 1
7 1.5 1.5 1.5 3
8 1 0 1 0.5
9 1.5 2 2 3
10 1 1.5 1.5 1.5
11 0.5 0 0.5 1
12 2 1.5 1 1.5

 

Las rentabilidades medias mensuales y las desviaciones típicas de estas carteras son las siguientes:

Cartera

Rentabilidad Media

Desviación Típica

B

0,875

0,869

C

0,833

0,964

D

1,041

0,802

E

1,333

1,280

De los resultados obtenidos en este cuadro, podemos apreciar que nuestra cartera A es directamente comparable sólo con las carteras C y D. Observamos que la cartera C presenta una rentabilidad media inferior a la nuestra, además de tener una mayor desviación típica, por tanto esta cartera estará por debajo de la línea isoperformance de la cartera A. Por el contrario la cartera D se comporta de una mejor forma en términos de rentabilidad y riesgo que nuestra cartera A, por lo que se situará por encima de la línea isoperformance de la A.

Sin embargo las carteras B y E no son directamente comparables con la cartera A, por lo que será necesario calcular el ratio premio-variabilidad de Sharpe para conocer si han estado mejor gestionadas que la nuestra. Los resultados son los siguientes:

 SA 0,767
SB 0,719
SC 0,604
SD 0,986
SE 0,846

Como era de esperar las carteras C y D presentan respectivamente unos índices de Sharpe inferior y superior con respecto a nuestra cartera A. Sin embargo observamos que la cartera B ha estado peor gestionada que la A de acuerdo con el ratio de Sharpe, por lo que estará por debajo de nuestra línea isoperformance. Sucede todo lo contrario con la cartera E que presenta un ratio de Sharpe superior al de la cartera A, por lo que estará situada por encima de nuestra línea isoperformance.

De acuerdo con el gráfico 3.5, las líneas isoperformance de las cinco carteras estudiadas quedan representadas de la siguiente forma:

Gráfico3.8


3) Tratamiento de la rentabilidad y del riesgo total

A continuación se va a realizar el análisis de las variaciones que sufre el índice de performance de Sharpe ante cambios, en primer lugar, de la rentabilidad media para valores constantes de la desviación típica y, en segundo lugar, ante variaciones de la desviación típica dejando invariante la rentabilidad esperada de la cartera.

Este análisis, desde un punto de vista matemático riguroso, debería realizarse a partir de las derivadas parciales que se han indicado anteriormente. No obstante, la aplicación de la derivación implica variaciones infinitesimales de las variables objeto de análisis, mientras que el estudio posterior se realizará con variaciones discretas de las mismas. Por ello, el método de trabajo será la utilización de incrementos finitos de las variables independientes en cada cuestión para observar los incrementos producidos en la variable dependiente, es decir, en la performance.

En el primero de los casos que se ha citado anteriormente, se toma de referencia la siguiente expresión:

Es decir, la expresión indica el valor de performance SI de una determinada cartera para la cual se toma el nivel de riesgo s* como un valor fijo, realizando análisis de sensibilidad sobre la rentabilidad esperada.
De este modo,
aplicándose un incremento sobre el valor de E(R), se cumplirá que:


El objetivo se centra en hallar la expresión correspondiente al incremento del valor de la performance
DS que ha venido provocado por la variación de la rentabilidad esperada DE(R):

Por tanto:

Por lo tanto, cada incremento unitario en la rentabilidad esperada de una cartera implica un incremento de performance en el mismo sentido e igual a 1 / s* , lo que pone de manifiesto que cuanto mayor es el nivel de riesgo soportado menor será el aumento del ratio de Sharpe ante incrementos adicionales de la rentabilidad esperada.

Esta cuestión se puede observar en el gráfico 3.9. Su interpretación precisa de las siguientes aclaraciones:

1) El eje de abcisas presenta una variable x, tal que:

x = E(R) - Rf

Esto no varía la esencia del índice de performance, ya que la variable x representa el nivel de prima de rentabilidad sobre los activos sin riesgo.

Del mismo modo, este cambio de variable no afecta al desarrollo formal que se está realizando, ya que:

Dx = D[E(R) - Rf]

Siendo Rf constante: Dx = DE(R)

Luego:

2) El rango de la variable especificada en el punto anterior se desarrolla desde un punto hasta siete puntos, tomándose como escala de los incrementos, 0,25 puntos.

3) El eje de ordenadas presenta, por su parte, los valores de performance, según el índice de Sharpe, para el nivel de riesgo s* invariante y para los diferentes valores de x.

Gráfico 3.9

4) Cada una de las funciones representadas en el gráfico se refieren a un valor de s* diferente. El rango de variación analizado de la desviación típica va desde el 0,5% hasta el 3,5%, utilizándose como medida base de incrementos 0,25 puntos.

Mientras que, en el segundo de los casos planteados, se parte de esta nueva expresión:

Aplicando, en esta ocasión, un incremento al valor de s, de manera que se cumplirá que:



Nuevamente, el objetivo de este análisis es hallar el incremento del valor de la performance D´S provocado, en este caso, por la variación de la desviación típica Ds:

Operando, la expresión a la que se llega es la siguiente:

 

Donde se cumple que, cambios positivos en la variable representativa del riesgo, conllevan variaciones negativas en la performance y viceversa. Ello se debe a que:

1) Por ortodoxia financiera, como se ha comentado ya anteriormente, se debe cumplir que:

E(R)* - Rf > 0

2) Tanto s como (s+Ds) tendrán lógica y necesariamente valores positivos.

3) Según las dos evidencias anteriores, la división incluida en la expresión de D´S será positiva. Por tanto:

Si Ds > 0 entonces D´S < 0 , mientras que

si Ds< 0 entonces D´S > 0.

Esta relación inversamente proporcional es difícil de precisar desde un punto de vista numérico a partir de la expresión anteriormente indicada, ya que la variación de la performance depende no sólo del valor de este incremento Ds, sino que también depende del valor de partida de la desviación típica, es decir, depende de s. Sin embargo podemos observar que aumentos adicionales del nivel de riesgo penalizan en mayor proporción al índice de Sharpe cuanto menor es el nivel de riesgo soportado inicialmente por la cartera.

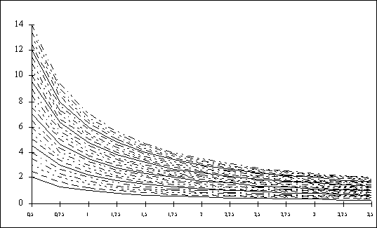
Gráfico 3.10

El gráfico número 3.10. resulta ilustrativo de la influencia de las variaciones de la desviación típica sobre la performance indicada por la medida de Sharpe. Su interpretación es similar al anterior, donde los cambios se producían en la rentabilidad esperada:

1) En este caso, las abcisas representan la variable dependiente, es decir, la desviación típica del rendimiento s. Su rango de variación coincide con el que se planteó para el gráfico anterior.

2) El eje de ordenadas sigue siendo identificativo de los valores de la performance de Sharpe, si bien, en este caso, se refieren a valores de rentabilidad esperada constantes para los diferentes valores de s.

3) Igualmente, las funciones que están representadas en el gráfico se refieren a un valor de E(R)* diferente en cada caso.

 

Ir a CiberConta Retroceder   Inicio leccion  Avanzar