La rentabilidad y el riesgo en las inversiones financieras

II El tratamiento de la rentabilidad y del riesgo en el modelo de Markowitz

1) Introducción

Una vez delimitados como parámetros fundamentales de gestión la rentabilidad obtenida por un activo financiero o por una cartera formada por títulos financieros y el riesgo asociado a dicha inversión, se procede, a continuación, a analizar la consideración que de estos elementos se hace en el modelo pionero de selección de activos formulado por Markowitz (1952) en su artículo "Portfolio Selection".

En este trabajo, el autor partió de la premisa de que, a partir de la observación y de la experiencia, se pueden establecer expectativas relevantes acerca de los rendimientos futuros que puede ofrecer una determinada inversión. Por esto, el análisis de la rentabilidad de una cartera comienza con el estudio de la inversiones individuales que la conforman para, posteriormente y a partir de los convenientes desarrollos, terminar con la formación de una determinada cartera que el decisor financiero pueda considerar como óptima.

De este modo, la cuestión se centra en demostrar cómo, a partir de las expectativas que se crean sobre las rentabilidades esperadas de los activos financieros individuales, se puede realizar una correcta elección de la cartera. Este es el objetivo último, tal y como indica el título del artículo y, en este sentido, se trata de conseguir un modelo óptimo de selección de carteras.

Por un lado, y tal como se ha comentado anteriormente, la rentabilidad es una variable deseada por el inversor financiero que, por tanto, deseará maximizar. Esto implica que el decisor intentará que el valor actual de los rendimientos futuros esperados tenga el mayor valor posible. Sin embargo, y como contraposición, las variaciones de estas rentabilidades supone un componente de riesgo que, por tanto, no será deseado por el inversor.

Estas reflexiones llevan a la conclusión inicial de que el decisor financiero valorará mucho la posibilidad de obtener un determinado nivel de rentabilidad cuando éste sea lo bastante estable en el tiempo. O lo que es lo mismo, se crea un problema de selección de los activos que conforman una cartera que debe contemplar estas dos cuestiones divergentes: rentabilidad y variación de esta rentabilidad. Uno de los objetivos fundamentales que se planteó Markowitz fue la demostración gráfica de la relación que existe entre las expectativas del inversor y la posterior elección de una cartera de acuerdo con los parámetros rentabilidad y riesgo considerados, en general, los fundamentales en la Teoría de Cartera y también en este trabajo.

En primer lugar, el autor trató de crear un modelo de selección de carteras maximizando únicamente el valor actual de los rendimientos futuros. Rápidamente, rechazó esta hipótesis, puesto que únicamente contempla la variable rentabilidad y, por tanto, no tiene en cuenta la importancia de la componente riesgo.

Es decir, esta teoría inicial no tendría en cuenta la existencia de carteras convenientemente diversificadas que serán preferidas a otras no diversificadas, aunque éstas tengan un valor esperado de rentabilidad futura superior. En este momento, se introduce la importancia del concepto de diversificación que será analizado posteriormente, de modo que toda teoría que no contemple las ventajas de este elemento nunca podrá ser aceptada como regla de comportamiento para un inversor racional. Esta conclusión se justifica por la premisa de que, en caso contrario, el sujeto situaría su dinero en aquel activo que le ofrezca rendimientos esperados actualizados superiores. Y, por otro lado, si dos o más inversiones ofrecieran idénticas rentabilidades esperadas sería indiferente invertir en una de ellas o en otra o en cualquier combinación de aquéllas.

Rechazada esta regla de comportamiento, Markowitz avanza con una nueva teoría, indicando que el inversor diversificará su inversión entre diferentes alternativas que ofrezcan el máximo valor de rendimiento actualizado. Para fundamentar esta nueva línea de trabajo se basa en la ley de los grandes números indicando que el rendimiento real de una cartera será un valor aproximado a la rentabilidad media esperada. La observancia de esta teoría asumiría la existencia de una hipotética cartera con rentabilidad máxima y con riesgo mínimo que, evidentemente sería la óptima para el decisor financiero racional. Este modelo de trabajo tampoco es aceptable ya que los rendimientos de las inversiones individuales están intercorrelados o, lo que es lo mismo, aun siendo un elemento fundamental la diversificación no puede eliminar todo el riesgo.

Esta conclusión implica que la cartera con máxima rentabilidad actualizada no tiene por qué ser la que tenga un nivel de riesgo mínimo. Por lo tanto, el inversor financiero puede incrementar su rentabilidad esperada asumiendo un diferencia extra de riesgo o, lo que es lo mismo, puede disminuir su riesgo cediendo una parte de su rentabilidad actualizada esperada.

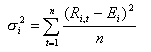
Una vez establecida la aversión por parte de los inversores hacia el riesgo, éstos desearán conocer el nivel de riesgo que soportan. Los inversores estarán interesados por conocer la rentabilidad media de su título, pero también el nivel de variabilidad de sus resultados alrededor de esa media. Esta variabilidad quedará definida por la varianza (o su raíz cuadrada la desviación típica). Por eso el modelo de Markowitz es un modelo media-varianza, donde la varianza queda definida de la siguiente forma:

Donde:
es la varianza de la variable rentabilidad del título i;
es la rentabilidad media del título i en el período de tiempo determinado
es la rentabilidad del activo i en el período t;

n: número de períodos existentes en el horizonte temporal determinado

Ejemplo 1.2 Durante los últimos doce meses hemos analizado las rentabilidades mensuales ofrecidas por los títulos A y B. Los resultados obtenidos en porcentaje son los siguientes:

 Período  Rentabilidad (A)  Rentabilidad (B)
 1  2 5
2 3
3 3 6
4 5 -2
5 4 -5
6 3 5
7 5 0
8 3 8
9 2 -1
10 2 3
11 1 9
12 6 4



Observamos que los dos títulos han seguido una evolución muy distinta a lo largo de los doce meses del año. Calculamos a continuación la
rentabilidad media mensual y la varianza de los rendimientos mensuales observados con anterioridad. Los resultados en porcentaje son:

Título

Rentabilidad Media

Varianza

A

3,25

2,01

B

3,25

17,4




La rentabilidad media mensual sería en los dos casos del 3,25%. Por el contrario al aplicar la expresión de la varianza observamos que
el título B manifiesta una mayor irregularidad o variabilidad en sus rentabilidades mensuales que el título A, por lo que estaría considerado de mayor riesgo en el modelo media-varianza de Markowitz. Un inversor racional en sentido de Markowitz preferiría adquirir títulos del tipo A.



Por todas estas cuestiones se debe de asumir que es inevitable para la creación de un modelo óptimo de selección de carteras el tratamiento conjunto de la rentabilidad esperada y del riesgo. Sin embargo, ya de partida, existen
dos condicionantes fundamentales:

- Para que el modelo se pueda desarrollar gráficamente el número de alternativas de inversión debe ser manejable, es decir, sólo se puede trabajar con dos o tres posibilidades. A partir de ahí, existen grandes dificultades para extrapolar al caso general de n posibilidades de inversión.

- Se deben asumir determinados postulados de probabilidad estática cuando el estudio trata un análisis dinámico. De esta manera, habría que reconocer que la distribución de probabilidad de los rendimientos de cualquier alternativa de inversión depende de la variable tiempo.


2) Fases del modelo de Markowitz

A continuación, se procede a comentar brevemente las fases del modelo de Markowitz obviando los desarrollos analíticos del mismo. Para este extremo puede consultarse, por ejemplo, Suárez (1995) o De Pablo y Ferruz (1996). En este sentido, el autor diferencia tres partes fundamentales:


1.- Determinación de la frontera eficiente, es decir, del conjunto de combinaciones de títulos que maximizan la rentabilidad esperada para un nivel determinado de riesgo o bien minimizan el riesgo soportado para un nivel determinado de rentabilidad esperada. Todo ello, teniendo en cuenta las restricciones presupuestarias y siempre en base al supuesto de racionalidad del inversor, es decir, que la rentabilidad esperada es un elemento positivo para dicho inversor mientras que el riesgo es un elemento no deseado. Para la resolución de esta primera parte, Markowitz propone un problema de programación matemática.


2. Determinación del mapa de líneas de indiferencia, siendo tales los conjuntos de combinaciones rentabilidad-riesgo que son indiferentes para el inversor. En este punto, es fundamental la actitud que el sujeto financiero tenga ante el riesgo, ya que de dicho comportamiento va a depender la forma de estas líneas. Cuanto mayor sea el nivel de rentabilidad media que el inversor exige por soportar una unidad adicional de riesgo, mayor es su aversión al riesgo. Este aspecto queda recogido en el gráfico 1.1 donde se reflejan a través de las curvas de indiferencia la posición de los inversores ante el riesgo.

Líneas de indiferencia Rentabilidad-Riesgo

De acuerdo con este aspecto, puede observarse que, en realidad, los postulados que están inherentes a estas líneas de indiferencia son los derivados de la teoría de la utilidad. De hecho, tal y como enumeran De Pablo y Ferruz (1996), las líneas de indiferencia tienen, entre otras, las siguientes características:

- Son crecientes, ya que un incremento del riesgo debe implicar necesariamente un incremento en la rentabilidad esperada de la inversión.

- Son curvas y son convexas respecto al eje de coordenadas, es decir, conforme aumenta el riesgo asociado a la inversión, el incremento de rentabilidad que se le exige a la misma es más que proporcional.

- Cada curva expresa un nivel distinto de satisfacción del inversor. Dicho nivel será mayor cuanto más alejada esté la curva del eje de abcisas.

- Todas las curvas del mapa cortan al eje de ordenadas en la zona positiva del mismo. Dichos cortes expresan el equivalente de certeza de cada línea.

- No se pueden cortar dos líneas entre sí, ya que de lo contrario el punto de corte expresaría distintos niveles de satisfacción para el inversor, lo cual no puede aceptarse. O bien, manteniendo el supuesto de que la satisfacción que ofrece una combinación rentabilidad-riesgo es igual a sí misma, las dos curvas de indiferencia representarían el mismo nivel de satisfacción, lo cual tampoco es aceptable puesto que se daría el caso de que, para cualquier nivel de riesgo se obtendría la misma satisfacción con dos niveles de rentabilidad esperada diferentes e, igualmente, para cualquier valor de rentabilidad se obtendría un satisfacción igual para dos niveles de riesgo diferentes.


3. Determinación de la cartera óptima, es decir, de la combinación posible de títulos representativa de la relación rentabilidad-riesgo que maximiza la satisfacción del inversor financiero. Esta cartera, tal y como se observa en el gráfico 1.2, tendrá las siguientes características:

Cartera Optima

- Deberá pertenecer a la frontera eficiente determinado en la primera fase del modelo.

- Deberá ser el punto tangente de dicha frontera eficiente con la curva de indiferencia más alejada posible del eje de abcisas que será, tal y como se ha comentado, representativa del mayor nivel de satisfacción accesible.


De la observación del gráfico 1.2 se desprende la
consideración que del riesgo propone el autor. En el eje de abcisas se indica dicho elemento representado como la varianza de la variable aleatoria rentabilidad. Es decir, Markowitz propone la consideración del riesgo de una inversión como la variabilidad de su resultado en el pasado, lo que, como se observará posteriormente, Sharpe denominó como el riesgo total.

Ir a CiberConta Retroceder   Inicio leccion  Avanzar